| 일 | 월 | 화 | 수 | 목 | 금 | 토 |
|---|---|---|---|---|---|---|
| 1 | 2 | 3 | ||||
| 4 | 5 | 6 | 7 | 8 | 9 | 10 |
| 11 | 12 | 13 | 14 | 15 | 16 | 17 |
| 18 | 19 | 20 | 21 | 22 | 23 | 24 |
| 25 | 26 | 27 | 28 | 29 | 30 | 31 |
- Python
- 파이썬
- PySpark
- Redshift
- Github
- Google Excel
- Tkinter
- matplotlib
- PANDAS
- Java
- dataframe
- hive
- SQL
- Apache
- numpy
- Excel
- PostgreSQL
- list
- django
- google apps script
- math
- array
- gas
- Kotlin
- Google Spreadsheet
- Presto
- string
- GIT
- c#
- Today
- Total
달나라 노트
Redshift : [window function] SUM() OVER BETWEEN ~ AND ~ : 여러 row 값을 참조하여 특정 조건에 따라 합계 구하기 본문
Redshift : [window function] SUM() OVER BETWEEN ~ AND ~ : 여러 row 값을 참조하여 특정 조건에 따라 합계 구하기
CosmosProject 2020. 12. 17. 02:36
SUM() OVER BETWEEN ~ AND ~
Syntax
SUM() OVER(PARTITION BY column_name ORDER BY column_name ASC/DESC ROWS/RANGE BEWEEEN option_1 AND option_2)
위 Syntax는 특정 조건에 따라 SUM 함수를 실행할 수 있도록 OVER() 조건을 추가한 Syntax입니다.
이렇게 OVER() 절을 사용할 수 있는 함수를 Windowing Clause라고 합니다.
SQL Reference에선 이러한 Windowing Clause를 사용할 수 있는 함수는 *표시가 붙어있습니다.
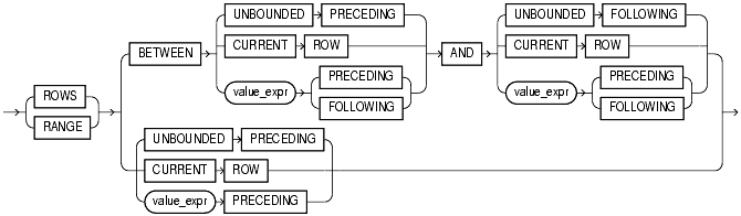
위에서 명시된 option_1과 option_2는 아래 이미지처럼 여러 가지 종류가 있습니다.

좀 복잡하죠.
몇가지만 살펴보겠습니다.
1. ROW, RANGE
ROW는 다음에 나올 BETWEEN ~ AND ~에서 현재 row 기준 앞뒤로 몇 개의 row를 참조하여 SUM 함수등의 함수를 적용할지를 나타냅니다.
RANGE는 다음에 나올 BETWEEN ~ AND ~에서 현재 row의 값 기준으로 얼마만큼의 값 범위인 값들을 참조하여 SUM 함수 등의 함수를 적용할지를 나타냅니다.
2. UNBOUNDED PRECEDING
ROW 옵션을 명시했을 때 BETWEEN ~ AND ~ 절에 UNBOUNDED PRECEDING을 명시하면 현재 row 기준으로 현재 row보다 더 위쪽에 있는 모든 row를 참조한다는 의미입니다.
3. UNBOUNDED FOLLOWING
ROW 옵션을 명시했을 때 BETWEEN ~ AND ~ 절에 UNBOUNDED FOLLOWING을 명시하면 현재 row 기준으로 현재 row보다 더 아래쪽에 있는 모든 row를 참조한다는 의미입니다.
4. CURRENT ROW
ROW 옵션을 명시했을 때 BETWEEN a AND b 절의 a 부분에 CURRENT ROW을 명시하면 현재 row를 시작점으로 간주하라는 뜻입니다.
ROW 옵션을 명시했을 때 BETWEEN a AND b 절의 b부분에 CURRENT ROW을 명시하면 현재 row를 끝점으로 간주하라는 뜻입니다.
5. value_expr PRECEDING
ROW 옵션을 명시했을 때 BETWEEN ~ AND ~ 절에 value_expr PRECEDING을 명시하면 현재 row 기준으로 현재 row보다 value_expr만큼 위쪽에 있는 row 까지를 참조한다는 의미입니다.
6. value_expr FOLLOWING
ROW 옵션을 명시했을 때 BETWEEN ~ AND ~ 절에 value_expr FOLLOWING을 명시하면 현재 row 기준으로 현재 row보다 value_expr만큼 아래쪽에 있는 row 까지를 참조한다는 의미입니다.
table name : products
| productno | category_no | price |
| 1250 | 10 | 10000 |
| 3028 | 10 | 8000 |
| 2075 | 10 | 7000 |
| 5217 | 10 | 12000 |
| 4203 | 20 | 11000 |
| 3356 | 20 | 5500 |
| 2103 | 20 | 3030 |
| 4301 | 20 | 6040 |
| 8043 | 30 | 1010 |
| 3356 | 30 | 5500 |
| 9034 | 30 | 9040 |
| 1234 | 30 | 6500 |
SELECT product_no, category_no, price
SUM() OVER(PARTITION BY category_no ORDER BY product_no ROWS 1 PRECEDING) AS sum_result
FROM products
| product_no | category_no | price | sum_result |
| 1250 | 10 | 10000 | 10000 |
| 2075 | 10 | 7000 | 17000 |
| 3028 | 10 | 8000 | 15000 |
| 5217 | 10 | 12000 | 20000 |
| 2103 | 20 | 3030 | 3030 |
| 3356 | 20 | 5500 | 8530 |
| 4203 | 20 | 11000 | 16500 |
| 4301 | 20 | 6040 | 17040 |
| 1234 | 30 | 6500 | 6500 |
| 3356 | 30 | 5500 | 12000 |
| 8043 | 30 | 1010 | 6520 |
| 9034 | 30 | 9040 | 10050 |
sum_result 컬럼을 보면 현재 row와 이전 row의 price가 더해져서 나타내지는 것을 볼 수 있습니다.
또한 PARTITION BY에 category_no가 명시되어있으므로 동일한 category_no를 가진 row끼리 SUM() OVER() 함수가 적용됩니다.
SELECT product_no, category_no, price,
SUM() OVER(ORDER BY category_no, product_no ROWS BETWEEN UNBOUNDED PRECEDING AND UNBOUNDED FOLLOWING) AS sum_1,
SUM() OVER(ORDER BY category_no, product_no ROWS BETWEEN UNBOUNDED PRECEDING AND CURRENT ROW) AS sum_2,
SUM() OVER(ORDER BY category_no, product_no ROWS BETWEEN CURRENT ROW AND UNBOUNDED FOLLOWING) AS sum_3,
SUM() OVER(ORDER BY category_no, product_no ROWS BETWEEN 1 PRECEDING AND CURRENT ROW) AS sum_4,
SUM() OVER(ORDER BY category_no, product_no ROWS BETWEEN CURRENT ROW AND 1 FOLLOWING) AS sum_5
FROM products
| product_no | category_no | price | sum_1 | snm_2 | sum_3 | sum_4 | sum_5 |
| 1250 | 10 | 10000 | 84620 | 10000 | 84620 | 10000 | 17000 |
| 2075 | 10 | 7000 | 84620 | 17000 | 74620 | 17000 | 15000 |
| 3028 | 10 | 8000 | 84620 | 25000 | 67620 | 15000 | 20000 |
| 5217 | 10 | 12000 | 84620 | 37000 | 59620 | 20000 | 15030 |
| 2103 | 20 | 3030 | 84620 | 40030 | 47620 | 15030 | 8530 |
| 3356 | 20 | 5500 | 84620 | 45530 | 44590 | 8530 | 16500 |
| 4203 | 20 | 11000 | 84620 | 56530 | 39090 | 16500 | 17040 |
| 4301 | 20 | 6040 | 84620 | 62570 | 28090 | 17040 | 12540 |
| 1234 | 30 | 6500 | 84620 | 69070 | 22050 | 12540 | 12000 |
| 3356 | 30 | 5500 | 84620 | 74570 | 15550 | 12000 | 6510 |
| 8043 | 30 | 1010 | 84620 | 75580 | 10050 | 6510 | 10050 |
| 9034 | 30 | 9040 | 84620 | 84620 | 9040 | 10050 | 9040 |
sum_1 ~ sum_5까지의 컬럼을 보며 현재 행 기준으로 얼마만큼의 행이 더해졌는지를 잘 살펴보세요.
table name : sales
| sale_month | price |
| 201901 | 10000 |
| 201902 | 8000 |
| 201903 | 7000 |
| 201904 | 12000 |
| 201905 | 11000 |
| 201906 | 5500 |
| 201907 | 3030 |
| 201908 | 6040 |
| 201909 | 1010 |
| 201910 | 5500 |
| 201911 | 9040 |
| 201912 | 6500 |
SELECT sale_month, price,
SUM() OVER(ORDER BY TO_DATE(sale_month, 'yyyymm') RANGE BETWEEN INTERVAL '3' MONTH PRECEDING AND INTERVAL '1' MONTH PRECEDING) AS sum_1,
SUM() OVER(ORDER BY TO_DATE(sale_month, 'yyyymm') RANGE BETWEEN INTERVAL '1' MONTH FOLLOWING AND INTERVAL '3' MONTH FOLLOWING) AS sum_2
FROM sales
| sale_month | price | sum_1 | sum_2 |
| 201901 | 10000 | 53000 | |
| 201902 | 8000 | 10000 | 70000 |
| 201903 | 7000 | 18000 | 82000 |
| 201904 | 12000 | 25000 | 85500 |
| 201905 | 11000 | 27000 | 78030 |
| 201906 | 5500 | 30000 | 62600 |
| 201907 | 3030 | 28500 | 44180 |
| 201908 | 6040 | 19530 | 37200 |
| 201909 | 1010 | 14570 | 38180 |
| 201910 | 5500 | 10080 | 28100 |
| 201911 | 9040 | 12550 | 15550 |
| 201912 | 6500 | 15550 |
1. OVER(ORDER BY TO_DATE(sale_month, 'yyyymm')
RANGE BETWEEN INTERVAL'3' MONTH PRECEDING AND INTERVAL '1' MONTH PRECEDING
위 내용은 sale_month 컬럼 기준으로 오름차순을 하여 sale_month 컬럼의 현재 row에 있는 데이터 기준 3달 이전부터 1달이전까지의 값에 SUM() 함수를 적용시킨다는 뜻입니다.
예를들어 sale_month = 201902면 201811 ~ 201901까지의 데이터를 더한다는 것입니다.
하지만 위 테이블에서 201811, 201812에 대한 데이터가 없기 때문에 201901에 해당하는 price만 더하게 됩니다.
2. OVER(ORDER BY TO_DATE(sale_month, 'yyyymm')
RANGE BETWEEN INTERVAL '1' MONTH FOLLOWING AND INTERVAL '3' MONTH FOLLOWING
위 내용은 sale_month 컬럼 기준으로 오름차순을 하여 sale_month 컬럼의 현재 row에 있는 데이터 기준 1달 이후부터 3달 이후까지의 값에 SUM() 함수를 적용시킨다는 뜻입니다.
예를들어 sale_month = 201902면 201903 ~ 2019005까지의 데이터를 더한다는 것입니다.
위 테이블에선 201903, 201904, 201905에 해당하는 price를 더하게 됩니다.
예시에선 계속 sum을 사용했지만 avg 등 다양한 함수에 window function을 적용할 수 있습니다.
'SQL > Redshift' 카테고리의 다른 글
| Redshift : CEIL, FLOOR (올림, 내림, 가장 크거나 작은 정수 반환) (0) | 2020.12.17 |
|---|---|
| Redshift : GREATEST, LEAST (여러 값 중 최대/최소값 return) (0) | 2020.12.17 |
| Redshift : EXTRACT (날짜/시간 데이터에서 특정 정보 추출) (0) | 2020.12.17 |
| Redshift : SIMILAR TO (형태 비교) (0) | 2020.12.17 |
| Redshift - LAG(), LEAD() : 이전 행 값 반환, 이후 행 값 반환 (0) | 2020.12.17 |